•
위와 같은 Graph를 만들기 위해서 어떻게 GraphRNN을 만들어야 하는가?
A1.1
Graph generation은 node-level RNN과 edge-level RNN이 필요하다. Node-level RNN은 해당 node가 존재하는지 여부를 예측하여 edge-level RNN에 initial state를 넘겨 준다.
•
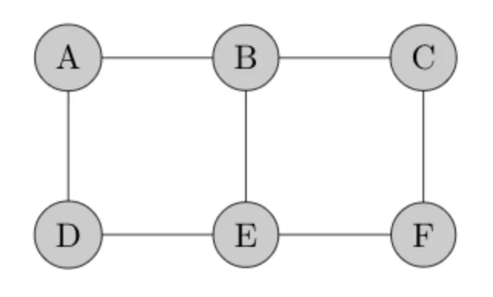
slide example in chapter 15
•
Without BFS
•
With  BFS
•
Add node A
•
Add node B
•
Connect B with A
•
Add node D
•
Connect D with A
•
Add node C
•
Connect C with B
•
Add node E
•
Connect E with B and D
•
Add node F
•
Connect F with C and E
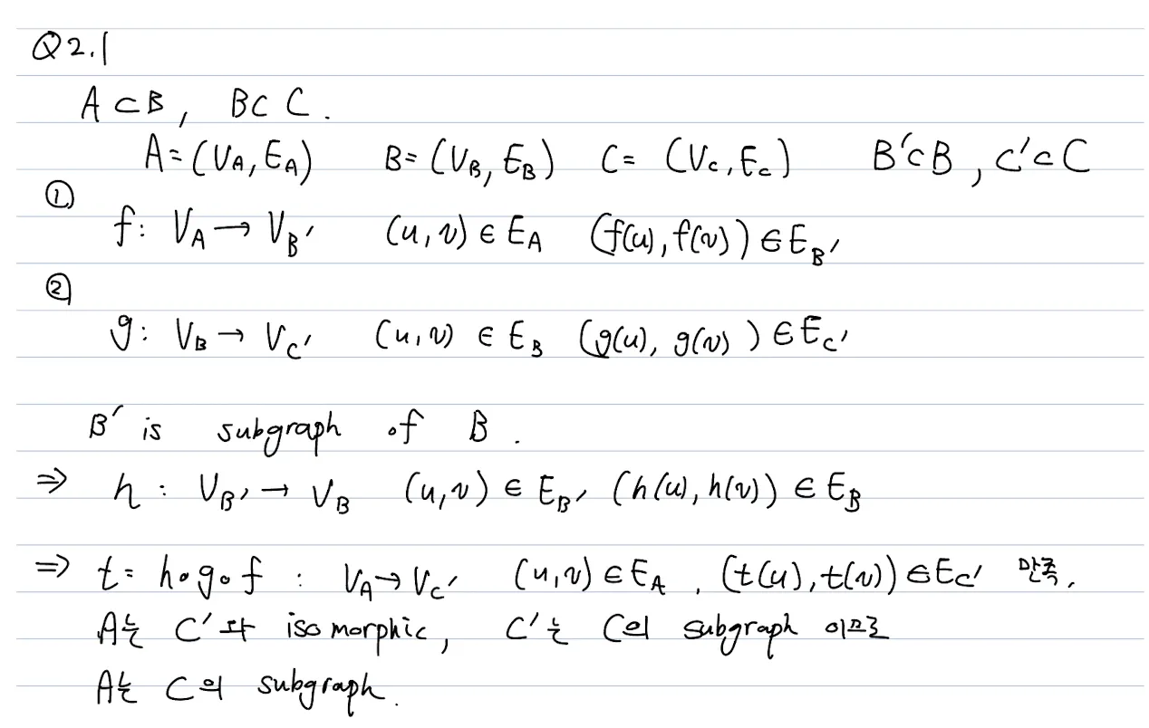
A 1.2
•
가능한 node ordering에 대해서만 확인하므로 node ordering에 따른 time complexity 감소
•
모든 edge에 대해서 확인할 필요가 없으므로 edge generation step 감소
•
A가 B의 subgraph이면, order embedding space 상에서 A의 모든 embedding dimension 값들이 B의 모든 embedding dimension의 값보다 작도록 학습함
•
slide example from chapter 12






















