β’
NeurIPS 2021 Poster
Summary
β’
Used physicist network (PhysNet) and chemist network (ChemNet) simultaneously, and each network shares information to solve individual tasks.
β’
PhysNet: Neural physical engine. Mimics molecular dynamics to predict conformation.
β’
ChemNet: Message passing network for chemical & biomedical property prediction.
β’
Molecule without 3D conformation can be inferred during test time.
Preliminaries
β’
Molecular representation learning
Embedding molecules into latent space for downstream tasks.
β’
Neural Physical Engines
Neural networks are capable of learning annotated potentials and forces in particle systems.
HamNet proposed a neural physical engine that operated on a generalized space, where positions and momentums of atoms were defined as high-dimensional vectors.
β’
Multi-task learning
Sharing representations for different but related tasks.
β’
Model fusion
Merging different models on identical tasks to improve performance.
Notation
β’
Graph
: set of atoms
: set of chemical bonds
: matrix of atomic features
: matrix of bond features
Model
β’
Initializer
β¦
Input: atomic features, bond features (from RDKit)
β¦
Layer: fully connected layers
β¦
Output:
βͺ
bond states, atom states for ChemNet
,
βͺ
atom positions, atomic momenta for PhysNet
Bond strength adjacency matrix
β’
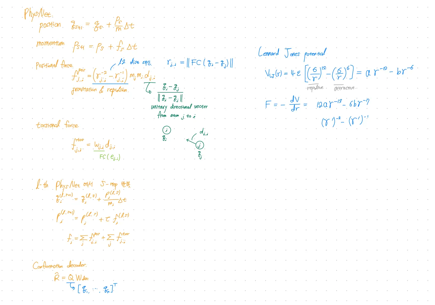
PhysNet
β¦
HamNet showed that neural networks can simulate molecular dynamics for conformation prediction.
β¦
Directly parameterize the forces between each pair of atoms.
β¦
Consider the effects of chemical interactions(e.g. bond types) by cooperating with ChemNetβs bond states.
β¦
Introduces torsion forces.
β¦
Output: 3D conformation
β’
ChemNet
ChemNet modifies MPNN(message passing neural network) for molecular representation learning.
β¦
Output: Molecule representation
Loss
β’
: Conn-k loss for Conformation prediction (PhysNet)
-hop connectivity loss
: element-wise product
: Frobenius norm
: distance matrix of the real and predicted conformations
: normalized -hop connectivity matrix
β’
: MAE or Cross entropy loss for Property prediction (ChemNet)
β’
Total loss
Checkpoints
β’
Is Conn-k loss generally used in other conformation prediction models?
No! But seems related to local distance loss.
β’
Is triplet descriptor generally used in other models?
No!
.png&blockId=8315391e-7f90-470c-9153-95e5b093ac8c&width=3600)



