Abstract
Plain Text
복사
1. Introduction
1.1. 기존 연구의 한계
•
기존의 social recommendation은 social connection만 고려하고 아이템 간 inter-dependent knowledge는 무시함
◦
같은 카테고리의 상품이라던가, 비슷한 장소의 리뷰들
•
user-item의 단일한 interaction만 설계하나 interaction들의 heterogeneity는 다루지 않음
◦
user-item interaction에는 다양한 종류가 존재함 (page view, add-to-favorite, purchase, …)
•
user-item 관계는 time dimension을 포함해 이해되어야 함
1.2. Key contributions
•
user-user, item-item relation의 local and global structure를 함께 다루기 위해 mutual information estimation을 coupled graph neural architecture에 포함함
•
multi-typed user-item interactive pattern을 인코딩하는 relation-aware graph neural module 개발
•
message passing에 temporal information을 포함함
2. Methodology
2.1. Problem formulation
•
Multi-typed Interaction Tensor
◦
: the number of interaction types (page view, purchase, like, dislike)
•
User Social Graph
•
Item Inter-Dependency Graph
◦
제품이 같은 카테고리에 속하거나, 비슷한 functionality를 같거나, 같은 interaction type 로 같은 유저에게 쓰였을 때
2.2. Multi-types Interactive Pattern Modeling
•
construct multi-typed relation graph
◦
와 사이의 edge는 -th type interaction이 있음을 의미함
•
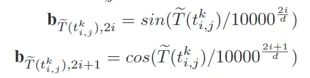
Temporal context encoding
◦
temporal context 생성
◦
interaction 정보 에 시간 정보 를 매핑:
◦
sin & cosine 함수 사용하여 embedding
◦
transformer의 positional embedding과 유사
•
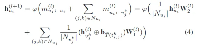
High-Order Message Aggregation Phase
◦
final embedding
◦
는 를 importance에 따라 차등하여 구함
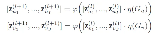
2.3. Knowledge-aware Coupled Graph Neural Module
•
First learn the user- and item-specific embeddings
•
: a fused graph-level representation by applying the mean pooling
•
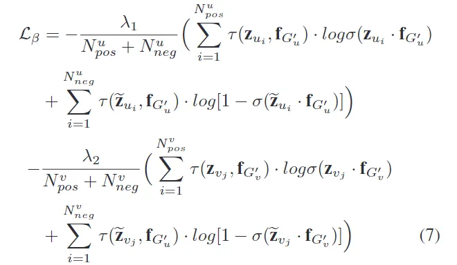
mutual information은 random variable 간의 상호 의존적인 정도를 의미함
•
따라서 mutual information을 추정하는 mutual information estimator (MINE, MI et al, 2018) 을 이용해 node-specific user/item characteristic과 global graph-level dependencies가 보존되도록 함
•
positive samples
•
negative samples(misplaced node-graph pairwise relations)
•
jointly preserve the node-specific user/item characteristics and global graph-level dependencies
2.4. Model Optimization
•
includes (i) multi-typed user-item interaction encoding (ii) knowledge-aware user-user and item-item inter-dependent relation learning
3. Evaluation
•
Dataset: Epinions(review), Yelp, E-Commerce
•
Evaluation metric: Hit rate, NDCG
3.1. Overall Model Performance Comparison
3.2. Impact of Different Relation Encoders
•
multi-typed user-item interaction(M), user-wise relations(U), item-wise dependencies(I), temporal context(T) 의 영향 평가
3.3. Performance over Sparsity Degrees
•
user social relationship 정보나 item의 knowledge info를 쓰는건 결국 data sparcity를 해소하기 위함
•
유저를 sparcity level에 따라 네 그룹으로 나누어 결과를 분석해봄
•
KGCN은 모든 그룹에서, 특히 가장 sparce한 그룹에서 성능이 가장 좋았음
3.4. Qualitative Analyses of KCGN
•
user와 user의 4점, 5점 평점 아이템의 latent feature를 시각화하였음
3.5. Parameter Sensitivity Study
•
user-item interaction graph의 embedding size는 클수록,
•
gnn layer는 2개 일 때 가장 성능이 좋았음



















